Rezolvati In Multimea Numerelor Intregi Ecuatiile

WebRezolva?i in multimea numerelor intregi ecuatiile: a. x+5=-4b. x+6=-3c. x+2=-9d. x-1=-4e. x-8=-2f. x-6=2g. 5=-4+xh. 7=x+14i. -3=-1+xj. 2x=-4k. 5x=-20l. -4x=8m. -9x=27n. x:3=-4o. 1-6x=-11p. x: (-8)=2. Rezolva?i in multimea numerelor intregi ecuatiile:. WebResurse educa?ionale interactive. Revista cadrelor didactice. Evenimente. Diplome pentru evenimente. Cum construim o rela?ie bun? cu elevii no?tri Comunicarea.
Rezolvati In Multimea Numerelor Intregi Ecuatiile, Ecuatii in multimea numerelor intregi (6d51), 15.63 MB, 11:23, 25,279, Radu Poenaru, 2012-05-26T12:04:27.000000Z, 19, Rezolvati multimea numerelor intregi ecuatiile: d) 7 (3x-4)+19=3 (5x-7, brainly.ro, 1488 x 1984, jpeg, intregi multimea numerelor ecuatiile rezolvati ro, 20, rezolvati-in-multimea-numerelor-intregi-ecuatiile, KAMPION
WebExerci?ii rezolvate matematic? (gimnaziu). FI?? DE LUCRU -Numere întregi. Opera?ii cu numere întregi (adunarea, sc?derea, înmul?irea, împ?r?irea, puteri,. WebInecuatii rezolvate in multimea numerelor intregi. 29 martie 2010, 11:50. 0 stele | 0 review-uri. Fisa de lucru. ÃŽnv???mânt gimnazial - Matematica - Fi?e de lucru -. Webla atelierul de Art? elevii au realizat 30 de jetoane despre igiena corpului ?i despre igiena locuin?ei ?tiind c? num?rul jetoanelor de sprâncen? locu. WebRezolvati ecuatiile: R?spuns. 1)x=2,5-0,7=>x=1,82)x=13,88+21.12=>x=353)x=4,5+2,3-3,4=>x=3,44)x=4,5+2,3:3,4=>x=25)3,4. WebProiect de lectie utilizat in cadrul orelor on-line. ÃŽnv???mânt gimnazial - Matematica - Lec?ii - Clasa a 6-a; ÃŽnv???mânt gimnazial - Matematica - Clasa a 7-a;. WebRezolvati in multimea numerelor intregi inecuatiile: a)2x-88x+11 c) 5 (6-3x)< sau egal decat 12-9x.... Idea question from @Conduracheteod. Conduracheteod @Conduracheteod.. WebObserervati ca mai intai am scazut din ambii membri termenul liber 3, iar apoi am efectua impartirea numerelor intregi. b) Notiunea noua care am mai invatat-o la. WebNumerele întregi pozitive corespund numerelor naturale ?i scrierea semnului “+” în fa?a acestora este op?ional?. Introducerea numerelor întregi a fost necesar? pentru. WebEtapele de rezolvare a unei ecua?ii in mul?imea numerelor întregi: Eliminarea numitorilor (dac? ecua?ia are numitori) înmul?ind ambii membri cu c.m.m.m.c al.
Ecuatii in multimea numerelor intregi (6d51)
Clasa a VI-a - Ecua?ii ?i inecua?ii în mul?imea numerelor întregi
Detail of Rezolvati In Multimea Numerelor Intregi Ecuatiile
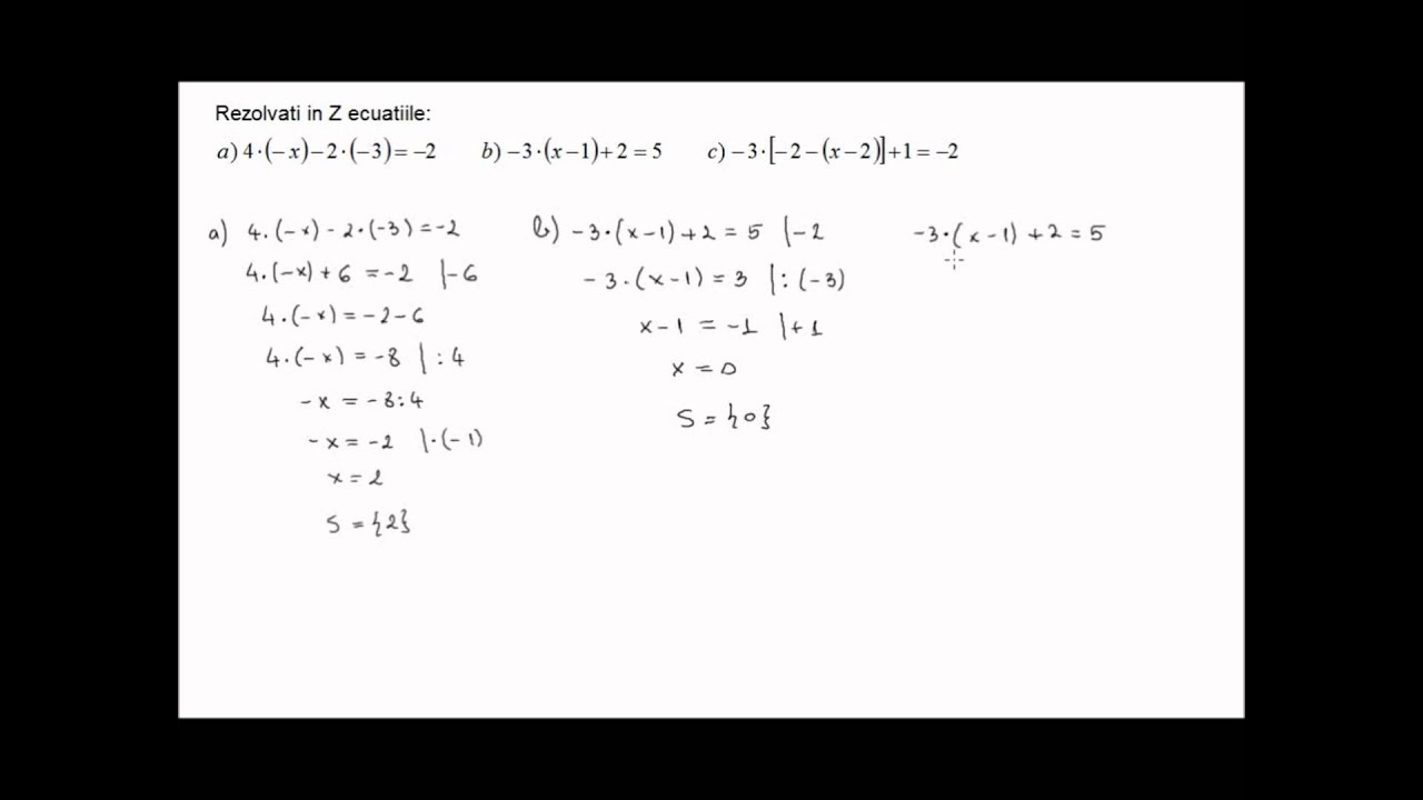
Rezolvarea unor ecuatii in multimea numerelor intregi Lectii video de matematica din materia claselor 5-12. In cele peste 600 de videoclipuri ale canalului veti gasi atat definitii, proprietati, formule utile cat si exercitii rezolvate, probleme rezolvate, subiecte sau modele de bacalaureat si evaluare nationala.
Am adaugat recent mai multe subiecte, modele si variante rezolvate pentru o pregatire aprofundata si de calitate a examenelor de bacaluareat M1, M2 sau de evaluare nationala. Adaugam in mod constant alte lectii si implicit se vor adauga subiectele examenelor in anii anteriori, incercand a se merge cat mai departe in timp.
De asemenea ce veti gasi intre lectiile noastre si subiecte rezolvate de la olimpiadele de matematica din editiile urmatoare, etapele locala, judeteana, nationala pentru toate clasele. Ne propunem sa avem materiale pentru toate categoriile de elevi, atat cei de nivel mediu cat si cei capabili si dornici de performanta.
Exercitii rezolvate si probleme rezolvate adaugam constant. Proiectul desigur este un continuu efort de acoperire a unei materii vaste, iar daca simtiti ca ceva lipseste, puteti sa ne comunicati. Incercam cu acest proiect sa raspundem cat mai punctual nevoilor elevilor, deci orice feedback ajuta.
Astfel, ne propunem un studiu al matematicii de la numere naturale, numere rationale, numere irationale, numere reale, ecuatii si inecuatii, probleme de pus ion ecuatie, operatii cu multimi, geometrie plana pana la geometrie in spatiu, functii si dependente functionale, calcul algebric, rapoarte de numere reale reprezentate prin litere, ecuatii de gradul II si asa mai departe.
Vizionare placuta si succes in studiu! Am adaugat recent mai multe subiecte, modele si variante rezolvate pentru o pregatire aprofundata si de calitate a examenelor de bacaluareat M1, M2 sau de evaluare nationala. Adaugam in mod constant alte lectii si implicit se vor adauga subiectele examenelor din anii anteriori (avem deja cateva), incercand a se merge cat mai departe in timp.
De asemenea ce veti gasi intre lectiile noastre si subiecte rezolvate de la olimpiadele de matematica din editiile anterioare, etapele locala, judeteana, nationala pentru toate clasele. Ne propunem sa avem materiale pentru toate categoriile de elevi, atat cei de nivel mediu cat si cei capabili si dornici de performanta.
Exercitii rezolvate si probleme rezolvate adaugam constant. Proiectul desigur este un continuu efort de acoperire a unei materii vaste, iar daca simtiti ca ceva lipseste, puteti sa ne comunicati. Incercam cu acest proiect sa raspundem cat mai punctual nevoilor elevilor, deci orice feedback ajuta.
Astfel, ne propunem un studiu al matematicii de la numere naturale, numere rationale, numere irationale, numere reale, ecuatii si inecuatii, probleme de pus in ecuatie, operatii cu multimi, geometrie plana pana la geometrie in spatiu, functii si dependente functionale, calcul algebric, rapoarte de numere reale reprezentate prin litere, ecuatii de gradul II si asa mai departe.
Avem suficiente exemple, exercitii si probleme rezolvate de divizibilitate in multimea numerelor naturale, criterii de divizibilitate, reguli de calcul cu puteri, formulele specifice, ordinea efectuarii operatiilor, fractii ordinare si fractii zecimale, operatii cu fractii, simplificare si amplificare, fractii ireductibile, fractii zecimale periodice si periodice mixte, elemente de geometrie si unitati de masura pentru lungimi, timp, volum, arii etc. De asemenea acoperim in buna masura geometria plana de la segment, lungimea unui segment, unghiuri si masuri de unghiuri, congruenta triunghiurilor si proprietatile triunghiurilor, pana la patrulatere, patrulatere particulare (paralelogram, dreptunghi, romb, patrat), teorema lui thales, teorema fundamentala a asemanarii, teorema lui pitagora, teorema bisectoarei si altele. Suficiente exemple fiind un fel de a spune, nu suntem multumiti niciodata, continuam zilnic sa lucram la altele.
Vizionare placuta si succes in studiu!
Rezolvati multimea numerelor intregi ecuatiile: d) 7 (3x-4)+19=3 (5x-7

ex 3 rezolvati in multimea numerelor intregi ecuatiile - Brainly.ro

rezolvati in multimea numerelor intregi ecuatiile: - Brainly.ro

Rezolva?i ecua?iile în mul?imea numerelor întregi: - Brainly.ro

Rezolvati in multimea numerelor intregi urmatoarele inecuatii : a) x+2?

Rezolvati in multimea numerelor rationale ecuatiile ajutor va rog maine

Rezolvati In Multimea Numerelor Reale Ecuatia 3 X 5

1.Rezolvati in multimea numerelor intregi - Brainly.ro

rezolvati inecuatiile in multimea numerelor intregi nenule b)|x-2|(|2x

Rezolvati in multimea numerelor rationale ecuatiile ajutor va rog maine

.png)


0 Comments: