Scaderea Puterilor Cu Aceeasi Baza

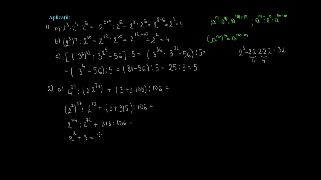
WebPentru a aduna2 puteri cu baze diferite si exponenti diferiti, se aduc puterile ,daca este posibil, fie la aceeasi baza, fie la acelasi exponent. Exemplu: 2³ si 4² Atat bazele cat si exponentii sunt diferiti, insa observam ca bazele sunt puteri ale lui 2. Prin urmare. WebCând avem de împ?r?it dou? puteri, scriem baza comun? la rezultat ?i sc?dem exponen?ii. ÃŽnseamn? c? exponentul deîmp?r?itului trebuie s? fie mai mare sau egal cu.
Scaderea Puterilor Cu Aceeasi Baza, lec?ii 86: CLASA V+: PUTERI - 14 exerci?ii: adun?ri, înmul?iri, împ?r?iri, compar?ri - reguli, 37.1 MB, 27:01, 21,011, Cu c?r?ile pe uli?? - Relu Voicu, 2020-11-19T14:23:08.000000Z, 19, Scaderea Puterilor Cu Aceeasi Baza - ahsdkjn, ajsgdb.blogspot.com, 1024 x 768, jpeg, scaderea puterilor baza aceeasi numere operatii aici vizitati complet imani articolul, 20, scaderea-puterilor-cu-aceeasi-baza, KAMPION
WebAdunarea /Scaderea – reguli, exemple -clasa a-6-a – #JitaruIonelBLOG -pregatire BAC si Evaluarea Nationala 2023 la matematica si alte materii! *materiale (lectii +formule + 1078. WebPentru a lucra mai u?or, folosim regulile de calcul cu puteri: atunci când înmul?im dou? puteri cu aceea?i baz?, scriem baza ?i adun?m exponen?ii. Invers, putem scrie. WebRegula 2: la împ?r?irea puterilor cu aceea?i baz?, se copiaz? baza ?i se scad exponen?ii: a m : a n = a m-n. Regula 3: atunci când ridic?m o putere la o alt? putere, se. WebSe da factor comun pe puterea ce mai mica daca sunt puteri mici ca 2 la 2 + 2la 3 faci asa afli care este cel mai mic (doiladoi) si imparti cu el 2la doi:doi la doi=doi la. WebReguli de calcul cu puteri: impartirea inmultirea , adunarea si scaderea . Ce fac daca am 2 la puterea. R?spuns. Inmultirea doua puteri cu aceeasi baza:Impartirea a. Web- Puteri cu acelasi exponent: Fie a, b, m numere natural nenule. Daca a < b, atunci a^m<b^m Daca a < b, atunci a^m<b^m - Puteri cu baze si exponenti diferiti :. WebÃŽnmul?irea puterilor cu aceea?i baz?. Pentru a explica aceast? regul? vom porni de la urm?torul exemplul: 3 4 * 3 5 = ? Atunci când sunt înmul?ite dou? puteri cu. WebCreare de cont nou. Doar daca ai inmultire se aduna exponentii, si daca ai impartire se scad. Daca ai adunare sau scadere, trebuie sa rezolvi puterea, si apoi le.
lec?ii 86: CLASA V+: PUTERI - 14 exerci?ii: adun?ri, înmul?iri, împ?r?iri, compar?ri - reguli
Opera?ii cu puteri. Adunarea, sc?derea, înmul?irea, împ?r?irea | Lectii-Virtuale.ro
Detail of Scaderea Puterilor Cu Aceeasi Baza
Scaderea Puterilor Cu Aceeasi Baza - ahsdkjn

Scaderea Puterilor Cu Aceeasi Baza - 1

Scaderea Puterilor Cu Aceeasi Baza - 1

Scaderea Puterilor Cu Aceeasi Baza - hjasbd

Scaderea Puterilor Cu Aceeasi Baza - oajsdn
Scaderea Puterilor Cu Aceeasi Baza - ashjas
Scaderea Puterilor Cu Aceeasi Baza - 5
Calcule Cu Puteri Cu Baze Diferite - ghjygtf

Reguli de calcul cu puteri - 2 - YouTube
Scaderea Puterilor Cu Aceeasi Baza - jhkgjy

.png)


0 Comments: