Code Ascii : 39 2d 3f 3d 34

WebLe code ASCII est quasi systématiquement représenté sur 1 octet (8bits) même s'il n'occupe que 7bits. En binaire, utiliser soit 7 bits, soit 8 bits (en ajoutant un 0 au début). WebUne certification reconnue par l'État. L'évaluation commence le 14 novembre 2022 et se termine le 17 mars 2023 pour les lycées.Au collège, elle se.
Code Ascii : 39 2d 3f 3d 34, How To Convert Hexadecimal to Binary, 15.98 MB, 11:38, 1,073,856, The Organic Chemistry Tutor, 2018-05-21T21:00:00.000000Z, 14, Bonjour j'ai besoin d'aide Voici du code ASCII : 39 2D 3F 3D 34 Décodez, nosdevoirs.fr, 4608 x 3456, jpeg, , 20, code-ascii-39-2d-3f-3d-34, KAMPION
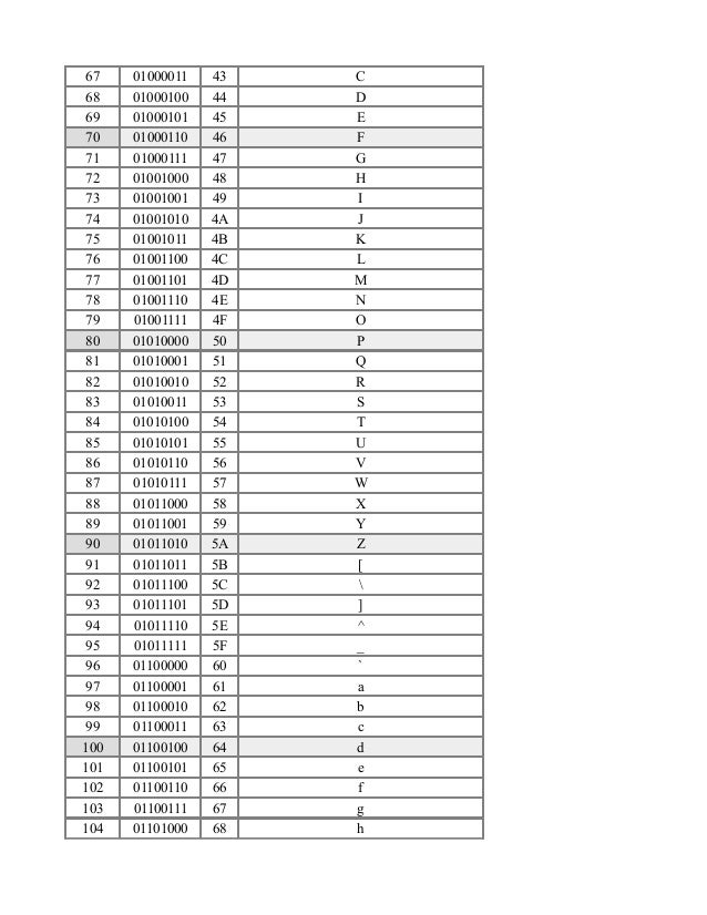
Webmerci d'avance ( ps : si c'est pas dans le bon thème de forum merci de me dire ou ça pourrais etre moins hors sujet ^^ ) Moi aussi. Posez votre question. A voir. WebThe US ASCII Character Set US ASCII, ANSI X3.4-1986 (ISO 646 International Reference Version) Codes 0 through 31 and 127 (decimal) are unprintable control characters. Code. Web34 lignesASCII DECIMAL AND HEXADECIMALCONVERSION TABLE. Hex. Hex. Hex. ! . ? NOTE: Decimal 0-31 (0x00-1F) and 127 (0x7F) are non-printable characters. WebTableau 1. Caractères ASCII de 33 à 126; Code ASCII Caractère Code ASCII Caractère Code ASCII Caractère; 33!point d'exclamation: 34 "guillemet double: 35 #signe dièse:. WebCode ASCII Shift a Ctrl Alt Num Caps Shift Caps Shift Num Esc 01 1B 1B 1B 1B 1B 1B 1B 1 12 23 ! 0 1 7800 31 31 31 31 0 24 33 @ 0 2 7900 0300 32 32 32 32 3 32 43 # 0 3 7A00 33. WebEnigme père fouras pdf - Forum Loisirs / Divertissements. Réponse énigme père fouras 250 - Forum Loisirs / Divertissements. Idée enigme saut en parachute -. WebCaractères ASCII de 33 à 126. Utilisez la table de caractères ASCII pour déterminer les caractères à utiliser pour les valeurs de départ et de sel du chiffrement de. WebHelpful information for converting ASCII, decimal, hexadecimal, octal, and binary values can be referenced in this table.
How To Convert Hexadecimal to Binary
18-Finding and Eliminating Badchars
Detail of Code Ascii : 39 2d 3f 3d 34
This video tutorial explains how to convert hexadecimal to binary numbers.
My E-Book: amzn.to/3B9c08z
Video Playlists: video-tutor.net
Homework Help: bit.ly/Find-A-Tutor
Subscribe: bit.ly/37WGgXl
Support & Donations: patreon.com/MathScienceTutor
Youtube Membership: youtube.com/channel/UCEWpbFLzoYGPfuWUMFPSaoA/join
Disclaimer: Some of the links associated with this video may generate affiliate commissions on my behalf. As an amazon associate, I earn from qualifying purchases that you may make through such affiliate links.
Bonjour j'ai besoin d'aide Voici du code ASCII : 39 2D 3F 3D 34 Décodez

Computer archi&mp

ascii? - ????
PPT - HEX DEC CHR Ctrl 00 0 NUL ^@ PowerPoint Presentation - ID:2947585

Ascii codes 3145_app_f

Caractères spéciaux | AndroLogiciels
Tabela ascii

Le codage des données numériques
El código ascii

.png)


0 Comments: